智造赋能
数创未来

动态正文
耐受温度变化的超弹性和抗疲劳碳纳米纤维气凝
2019-12-24
具有超弹性和抗疲劳性的轻质可压缩材料,尤其是其中适应广阔温度范围的材料,是航空航天、机械缓冲、能量阻尼和软机器人等领域的理想材料。许多低密度的聚合物泡沫是高度可压缩的,但它们在重复使用时往往易疲劳,并在聚合物玻璃化转变和熔融温度附近发生超弹性退化。尽管研究者已经开发出各种热稳定的轻质金属和陶瓷泡沫材料,但它们通常都只具有最小的可逆压缩性,并且在循环变形下表现出疲劳。碳纳米管和石墨烯因其具有固有的超弹性和热机械稳定性,近年来被用作制备轻量超弹性材料的基本材料。
虽然已有相关文献报道了这类材料的优异性能,但这些工作所涉及的复杂设备和制备过程使其只能制备毫米级尺寸的材料。另一方面,自然中从几亿年进化而来的复杂层次结构生物材料因其优异的力学性能而备受关注,然而由于它们是纯有机或有机/无机复合结构,通常只适合很窄的温度范围内工作。因此,将这些非热稳定的结构生物材料转化为具有固有层次结构的热稳定石墨材料,有望创造出热力学稳定的材料。
最近,中国科学技术大学俞书宏团队和梁海伟课题组报道了一种通过热解化学控制,将结构生物材料(BC,即细菌纤维素)热转化为石墨碳纳米纤维气凝胶(CNFAs)的方法。其制备的碳气凝胶完美地继承了细菌纤维素从宏观到微观的层次结构,具有显著的热机械性能。特别是在经历2×106次压缩循环后仍能保持超弹性而不发生塑性变形,在至少-100~500℃的大范围温度范围内具有优异的不随温度变化的超弹性和抗疲劳性能。这种气凝胶在热机械稳定性和抗疲劳性能方面比高分子泡沫、金属泡沫和陶瓷泡沫有独特的优势,实现了大规模合成,并具有生物材料的经济优势。相关成果以Temperature-Invariant Superelastic and Fatigue Resistant Carbon Nanofiber Aerogels 发表于《先进材料》(Adv. Mater.)期刊上。
该团队发展了一种利用无机盐对细菌纤维素(BC)进行热解化学调控方法,实现了大规模合成、形态保留的碳化新工艺,研制的碳纳米纤维气凝胶较好地继承了细菌纤维素从宏观到微观的层次结构,在较宽的温度范围内表现出明显的不随温度改变的超弹性和抗疲劳性能。由于碳纳米纤维气凝胶具有优异的热稳定机械性能并可实现宏量制备,在诸多领域将具有重要的应用前景,特别是适合极端条件下的机械缓冲、压力传感、能量阻尼及航天太阳能电池等。
相关研究受到国家自然科学基金委创新研究群体、国家自然科学基金重点项目、中科院前沿科学重点研究项目、中科院纳米科学卓越创新中心、苏州纳米科技协同创新中心等的资助。

图1、宏观尺寸CNFAs的合成。(a)CNFAs制造工艺示意图;(b)纯BC和BC浸渍NH4H2PO4、(NH4)2SO4、NH4Cl、(NH4)3PO4、NaH2PO4或KH2PO4的TG曲线;(c)纯BC和BC浸渍不同浓度NH4H2PO4后的TG曲线;(d)以纯BC和BC为原料,在800°C下加入不同量的NH4H2PO4炭化制备CNFAs(NH4H2PO4的重量比分别为0.5、4.8、16、44和62 wt%);(e)1200 ℃下制备的CNFAs的密度和导电性;(f ~g)在800℃下制备的CNFAs照片,展示了其可以大规模制备。

图2、CNFAs在T = -100~500℃时N2中的热力学稳定的力学性能。(a~c)形变为20%、40%、60%和80%时CNFAs的压缩应力-应变曲线,温度分别为:a)-100 °C、b)25 °C和c)500 °C;(d)CNFAs在T = -100-500℃时的粘弹性(储存模量、损耗模量和阻尼比);(e)CNFA、三聚氰胺、PU和EPE泡沫的储存模量随温度的变化;(f)不同温度下CNFAs在1×105次循环中的储存模量和损耗模量。
虽然已有相关文献报道了这类材料的优异性能,但这些工作所涉及的复杂设备和制备过程使其只能制备毫米级尺寸的材料。另一方面,自然中从几亿年进化而来的复杂层次结构生物材料因其优异的力学性能而备受关注,然而由于它们是纯有机或有机/无机复合结构,通常只适合很窄的温度范围内工作。因此,将这些非热稳定的结构生物材料转化为具有固有层次结构的热稳定石墨材料,有望创造出热力学稳定的材料。
最近,中国科学技术大学俞书宏团队和梁海伟课题组报道了一种通过热解化学控制,将结构生物材料(BC,即细菌纤维素)热转化为石墨碳纳米纤维气凝胶(CNFAs)的方法。其制备的碳气凝胶完美地继承了细菌纤维素从宏观到微观的层次结构,具有显著的热机械性能。特别是在经历2×106次压缩循环后仍能保持超弹性而不发生塑性变形,在至少-100~500℃的大范围温度范围内具有优异的不随温度变化的超弹性和抗疲劳性能。这种气凝胶在热机械稳定性和抗疲劳性能方面比高分子泡沫、金属泡沫和陶瓷泡沫有独特的优势,实现了大规模合成,并具有生物材料的经济优势。相关成果以Temperature-Invariant Superelastic and Fatigue Resistant Carbon Nanofiber Aerogels 发表于《先进材料》(Adv. Mater.)期刊上。
该团队发展了一种利用无机盐对细菌纤维素(BC)进行热解化学调控方法,实现了大规模合成、形态保留的碳化新工艺,研制的碳纳米纤维气凝胶较好地继承了细菌纤维素从宏观到微观的层次结构,在较宽的温度范围内表现出明显的不随温度改变的超弹性和抗疲劳性能。由于碳纳米纤维气凝胶具有优异的热稳定机械性能并可实现宏量制备,在诸多领域将具有重要的应用前景,特别是适合极端条件下的机械缓冲、压力传感、能量阻尼及航天太阳能电池等。
相关研究受到国家自然科学基金委创新研究群体、国家自然科学基金重点项目、中科院前沿科学重点研究项目、中科院纳米科学卓越创新中心、苏州纳米科技协同创新中心等的资助。

图1、宏观尺寸CNFAs的合成。(a)CNFAs制造工艺示意图;(b)纯BC和BC浸渍NH4H2PO4、(NH4)2SO4、NH4Cl、(NH4)3PO4、NaH2PO4或KH2PO4的TG曲线;(c)纯BC和BC浸渍不同浓度NH4H2PO4后的TG曲线;(d)以纯BC和BC为原料,在800°C下加入不同量的NH4H2PO4炭化制备CNFAs(NH4H2PO4的重量比分别为0.5、4.8、16、44和62 wt%);(e)1200 ℃下制备的CNFAs的密度和导电性;(f ~g)在800℃下制备的CNFAs照片,展示了其可以大规模制备。

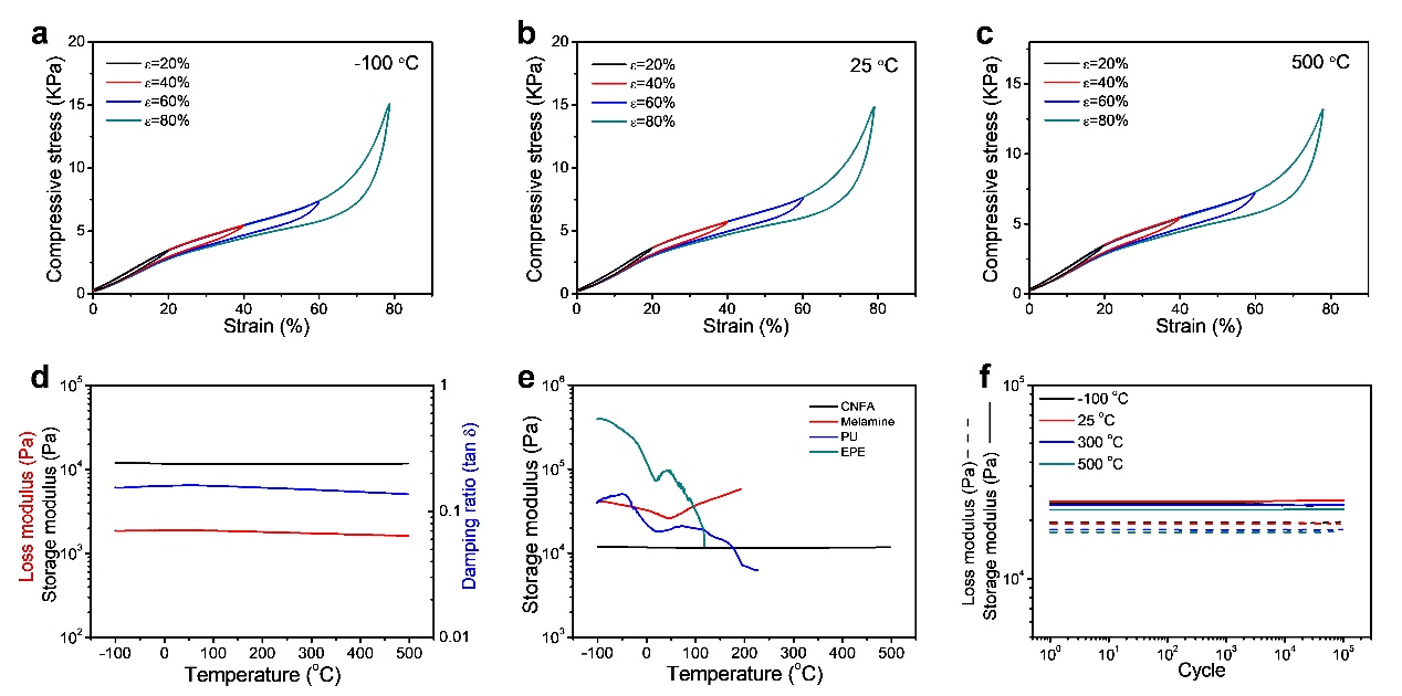
图2、CNFAs在T = -100~500℃时N2中的热力学稳定的力学性能。(a~c)形变为20%、40%、60%和80%时CNFAs的压缩应力-应变曲线,温度分别为:a)-100 °C、b)25 °C和c)500 °C;(d)CNFAs在T = -100-500℃时的粘弹性(储存模量、损耗模量和阻尼比);(e)CNFA、三聚氰胺、PU和EPE泡沫的储存模量随温度的变化;(f)不同温度下CNFAs在1×105次循环中的储存模量和损耗模量。
返回列表

